HOH - Studie zur Umnutzung und Revitalisierung
Teamwerk-Architekten wurde 2011 vom Eigentümer des Anwesens Hohenzollernstraße 5 in München damit beauftragt, eine vergleichende Studie zur Umnutzung und Revitalisierung der Liegenschaft in Schwabing zu erstellen.
Ursprünglich wurde die Ladeneinheit vom Eigentümer selbst als Schuhladen verwendet und die oberen Geschosse inkl. Rückgebäude von einer Münchner Hotelfamilie bewirtschaftet. 
Nachdem sich das Gebäude in einem stark sanierungsbedürftigen Zustand befunden hatte, sollte nun im Rahmen der Studie analysiert werden, welche Nutzungsart und Mischung langfristig aus ökonomischer Sicht anzustreben ist. Darauf aufbauend sollte eine Bauvoranfrage erstellt werden. 
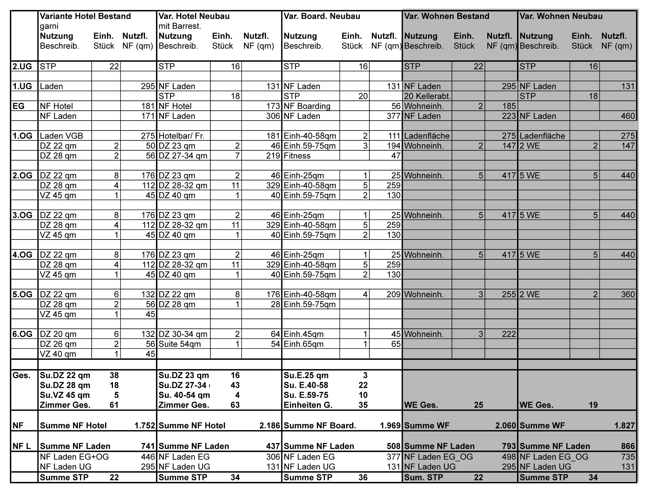
Verglichen wurden dabei die Alternativen Bestandserhalt / Abbruch und Neubau bzw. die Nutzungsarten Hotel, Boardinghouse und Wohnen. Dabei sollte eine Ladennutzung im Erdgeschoss immer erhalten bleiben. Die Analyse zeigte, dass der Neubau mit Hotelnutzung der oberirdischen Geschosse und der Erhalt der beiden Tiefgeschosse die wirtschaftlichste Alternative darstellte.  
Die Analyse umfasste neben der Klärung des Baurechts in enger Abstimmung mit der LBK, vor allem die Ermittlung möglicher Nutzflächen mittels alternativer Grundrissalternativen. Eine vergleichende Kostenermittlung stellte dann die Entscheidungsgrundlage dar.
Nach Abschluss der Studie wurde klar, dass das Nachbargrundstück, Ecke Leopoldstraße, ebenfalls abgerissen und neu bebaut werden soll. Aufgrund der stadtgestalterisch besonderen Lage wurde hier von der LBK ein Wettbewerb gefordert. 
Aus taktischen Gründen wurde mit 
dem Genehmigungsprozess für das Hotel das Ergebnis und die rechtliche 
Sicherung des Entwurfes Ecke Leopoldstraße, abgewartet, da sich herausstellte, dass die Stadt an dieser Stelle eine sehr hohe Bebauung in Aussicht gestellt hat. Grundlage für die geplante 
Bauvoranfrage sollte dann die Anlehnung an die Gebäudehöhe des Nachbargrundstückes sein. 
Ab April 2016 errichtet der Bauherr nun drei neue Gebäudeteile. 
Das Vordergebäude mit acht oberirdischen Geschossen zur Hohenzollernstraße, ein Hofgebäude und ein Rückgebäude. Im Hauptgebäude wird, neben der Ladennutzung im Erdgeschoss, ein Hotel mit 82 Zimmern entstehen. Im zweiten Untergeschoss 
wird das Parkaus weiterhin betrieben, aber nun mit einem Autoaufzug 
erschlossen. 
Projektdaten:
Bauherr: Tretter
Ort: München Schwabing
Jahr: 2011
Nutzfläche: ca. 2.500 qm
82 Zimmer
 
                         
             
             
             
             
            